Matematická analýza - Určitý integrál
Riešená domáce cvičenie z Matematické analýzy na ČVUT - Určitý integrál.
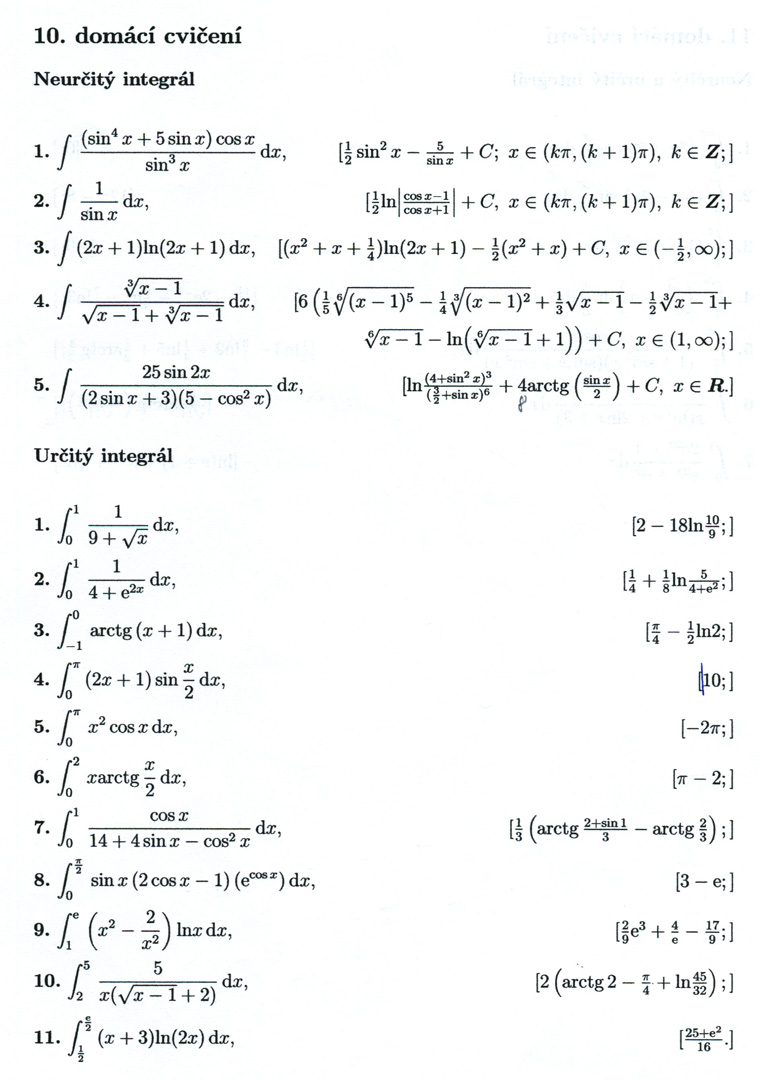
Zadania

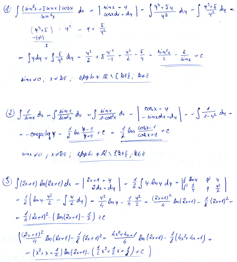
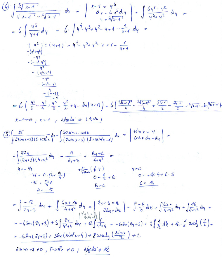
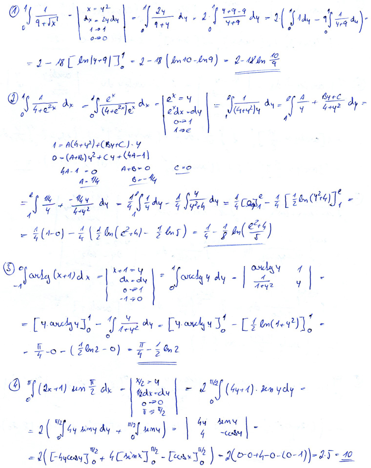
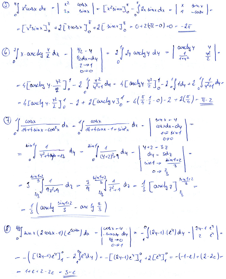
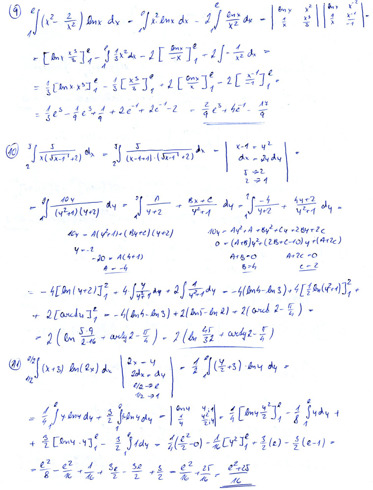
Vypracovanie





//= Settings::TRACKING_CODE_B ?> //= Settings::TRACKING_CODE ?>
Riešená domáce cvičenie z Matematické analýzy na ČVUT - Určitý integrál.






David sa informačné technológie naučil na Unicorn University - prestížnej súkromnej vysokej škole IT a ekonómie.