Matematická analýza - Rovnice a nerovnice
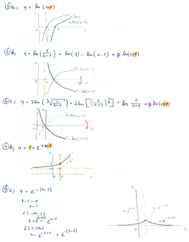
Riešená domáce cvičenie z Matematické analýzy na ČVUT - Rovnice a nerovnice, definičné obory a grafy funkcií.
Zadania


Vypracovanie
















//= Settings::TRACKING_CODE_B ?> //= Settings::TRACKING_CODE ?>
Riešená domáce cvičenie z Matematické analýzy na ČVUT - Rovnice a nerovnice, definičné obory a grafy funkcií.


















David sa informačné technológie naučil na Unicorn University - prestížnej súkromnej vysokej škole IT a ekonómie.