Matematická analýza - Neurčitý a určitý integrál
Riešená domáce cvičenie z Matematické analýzy na ČVUT - Neurčitý a určitý integrál.
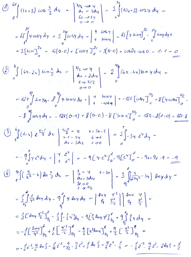
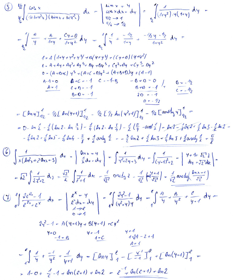
Zadania

Vypracovanie


//= Settings::TRACKING_CODE_B ?> //= Settings::TRACKING_CODE ?>
Riešená domáce cvičenie z Matematické analýzy na ČVUT - Neurčitý a určitý integrál.



David sa informačné technológie naučil na Unicorn University - prestížnej súkromnej vysokej škole IT a ekonómie.