Matematická analýza - Neurčitý integrál 2
Riešená domáce cvičenie z Matematické analýzy na ČVUT - Neurčitý integrál 2.
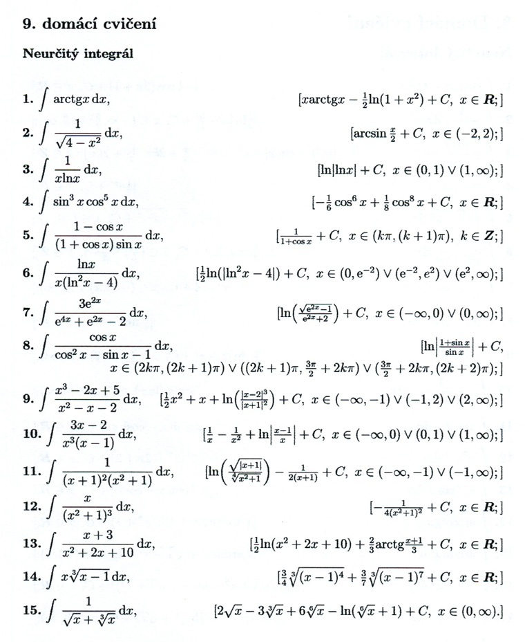
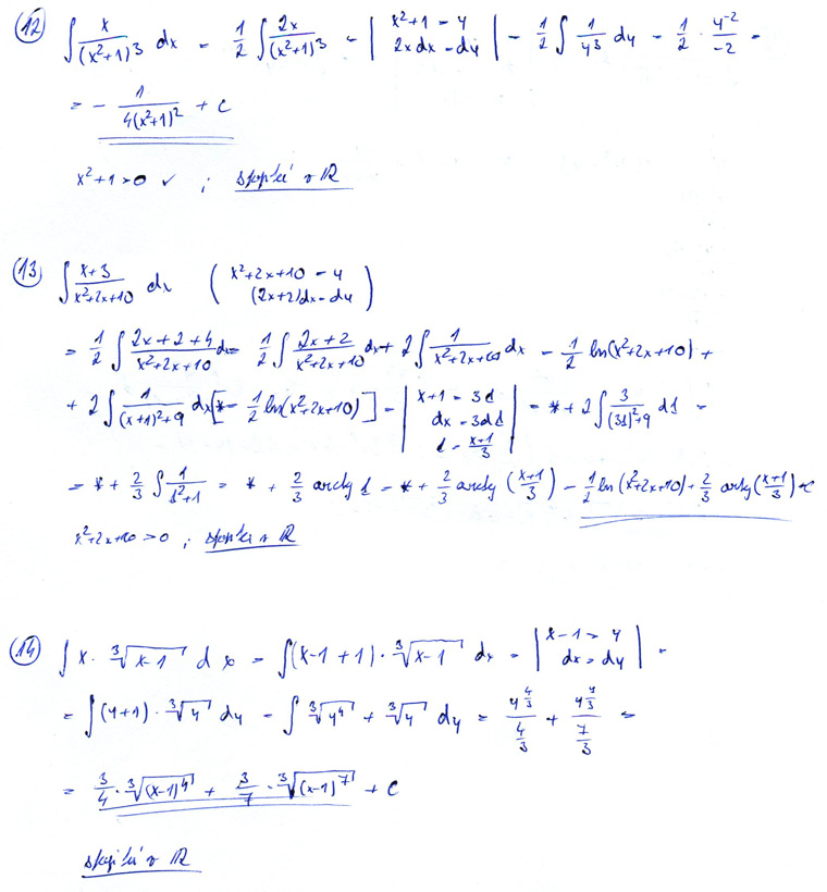
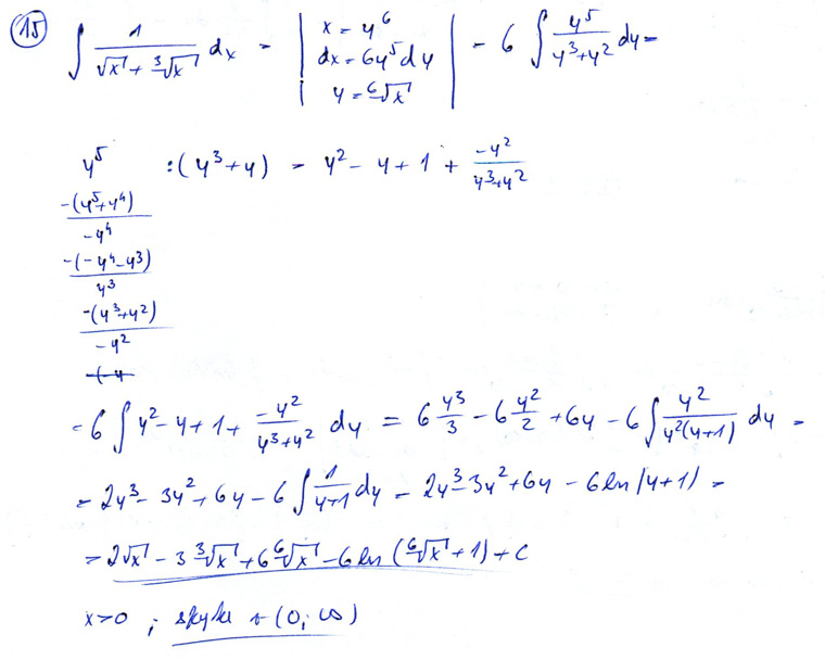
Zadania

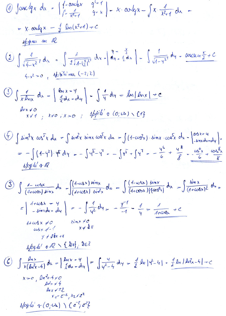
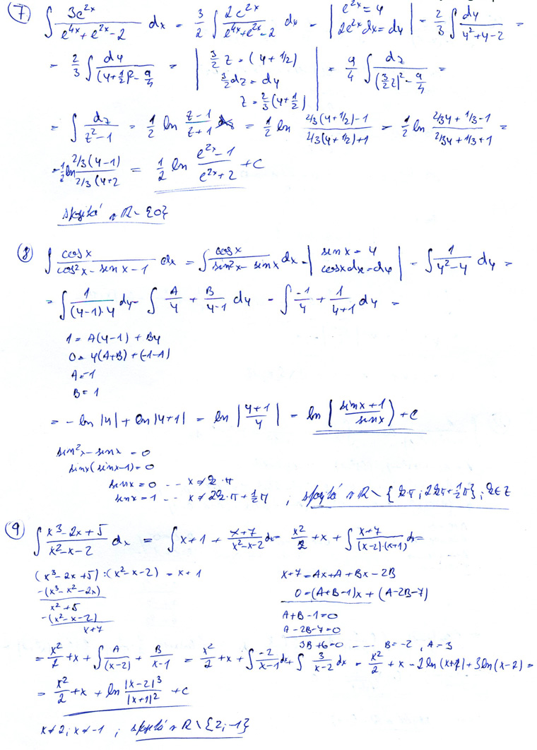
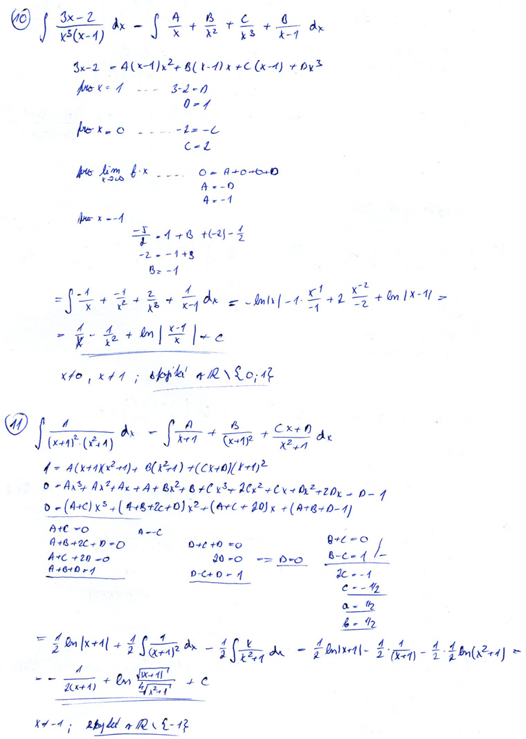
Vypracovanie





//= Settings::TRACKING_CODE_B ?> //= Settings::TRACKING_CODE ?>
Riešená domáce cvičenie z Matematické analýzy na ČVUT - Neurčitý integrál 2.






David sa informačné technológie naučil na Unicorn University - prestížnej súkromnej vysokej škole IT a ekonómie.