Matematická analýza - Neurčitý integrál
Riešená domáce cvičenie z Matematické analýzy na ČVUT - Neurčitý integrál.
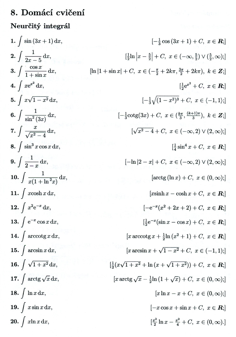
Zadania

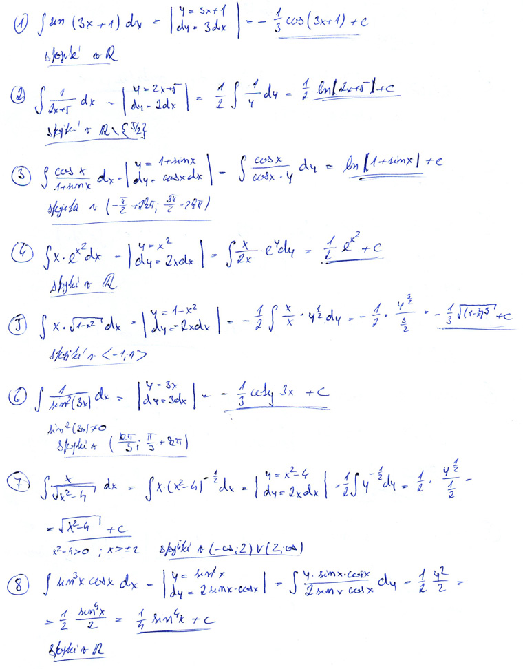
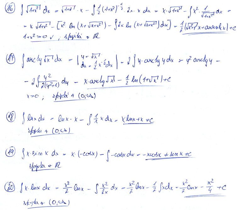
Vypracovanie



//= Settings::TRACKING_CODE_B ?> //= Settings::TRACKING_CODE ?>
Riešená domáce cvičenie z Matematické analýzy na ČVUT - Neurčitý integrál.




David sa informačné technológie naučil na Unicorn University - prestížnej súkromnej vysokej škole IT a ekonómie.