Matematická analýza - Limita funkcie (l'Hospitalovo pravidlo)
Riešená domáce cvičenie z Matematické analýzy na ČVUT - Limita funkcie (l'Hospitalovo pravidlo).
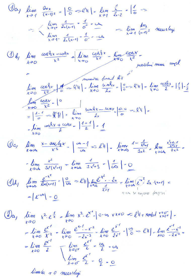
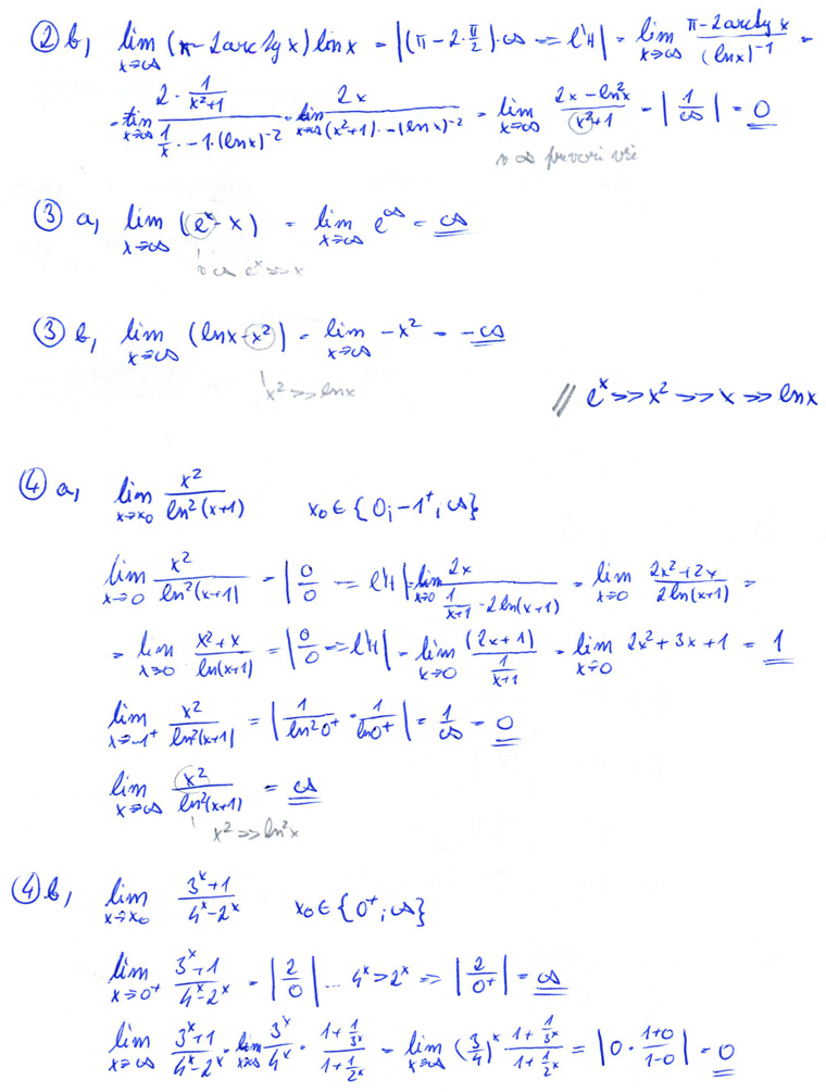
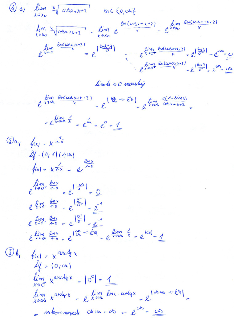
Zadania

Vypracovanie



//= Settings::TRACKING_CODE_B ?> //= Settings::TRACKING_CODE ?>
Riešená domáce cvičenie z Matematické analýzy na ČVUT - Limita funkcie (l'Hospitalovo pravidlo).




David sa informačné technológie naučil na Unicorn University - prestížnej súkromnej vysokej škole IT a ekonómie.