Matematická analýza - Opakovanie
Riešená domáce cvičenie z Matematické analýzy na ČVUT - Opakovanie (derivácie, dotyčnica a normála, Taylor, max. Intervaly monotónnym).
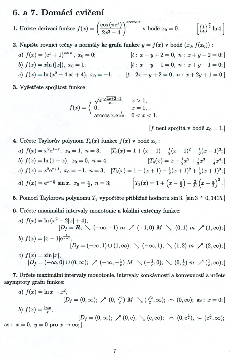
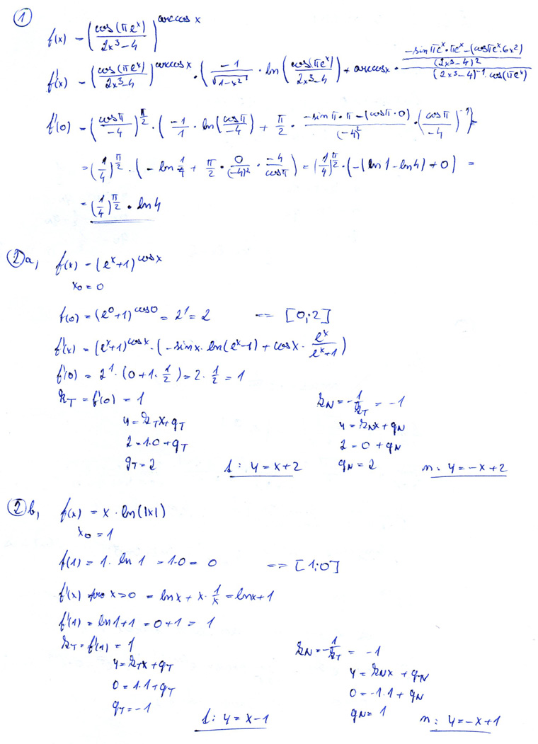
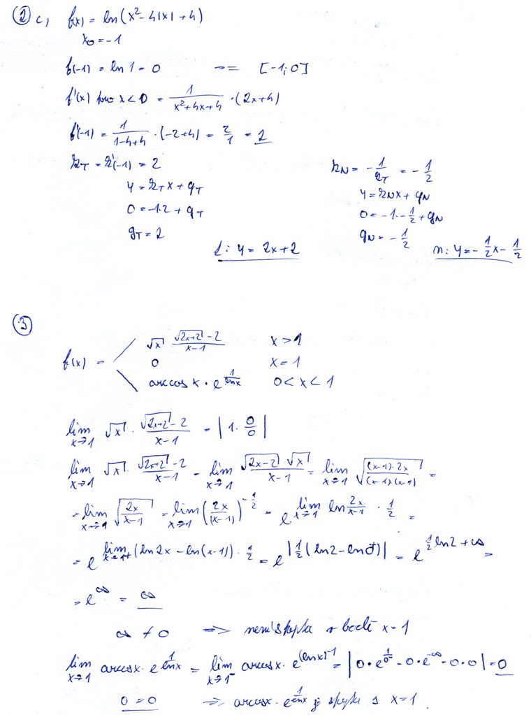
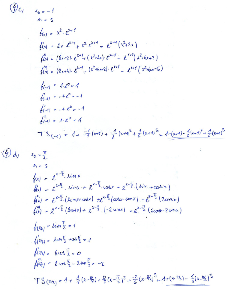
Zadania

Vypracovanie






//= Settings::TRACKING_CODE_B ?> //= Settings::TRACKING_CODE ?>
Riešená domáce cvičenie z Matematické analýzy na ČVUT - Opakovanie (derivácie, dotyčnica a normála, Taylor, max. Intervaly monotónnym).







David sa informačné technológie naučil na Unicorn University - prestížnej súkromnej vysokej škole IT a ekonómie.