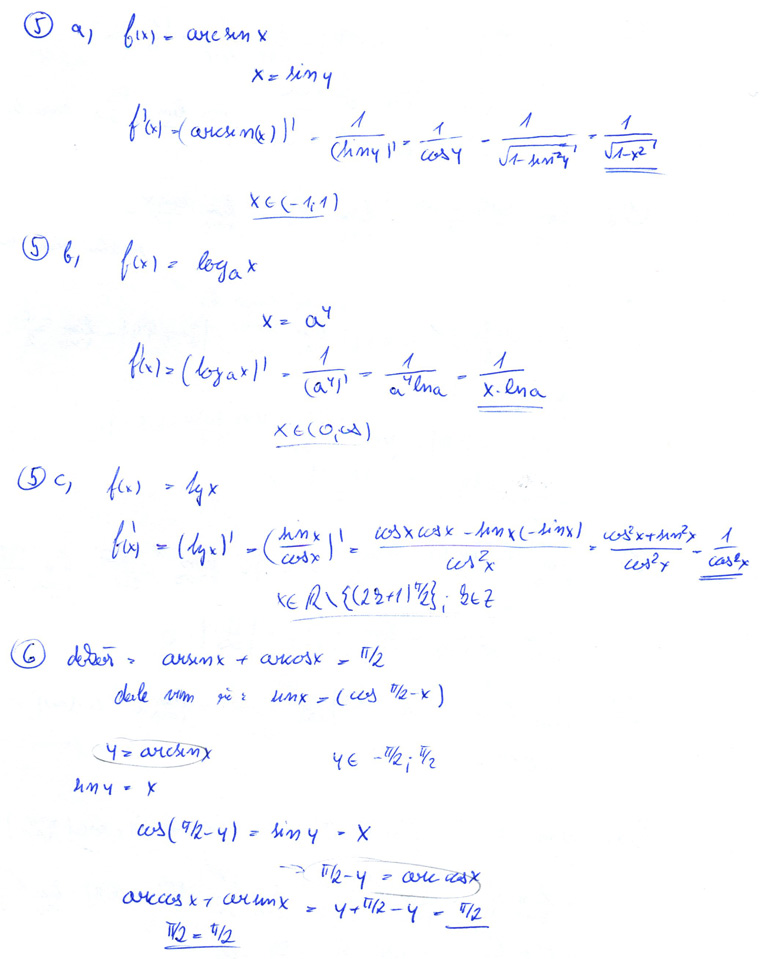
Matematická analýza - Derivácia funkcie
Riešená domáce cvičenie z Matematické analýzy na ČVUT - Matematická analýza - Derivácia funkcie.
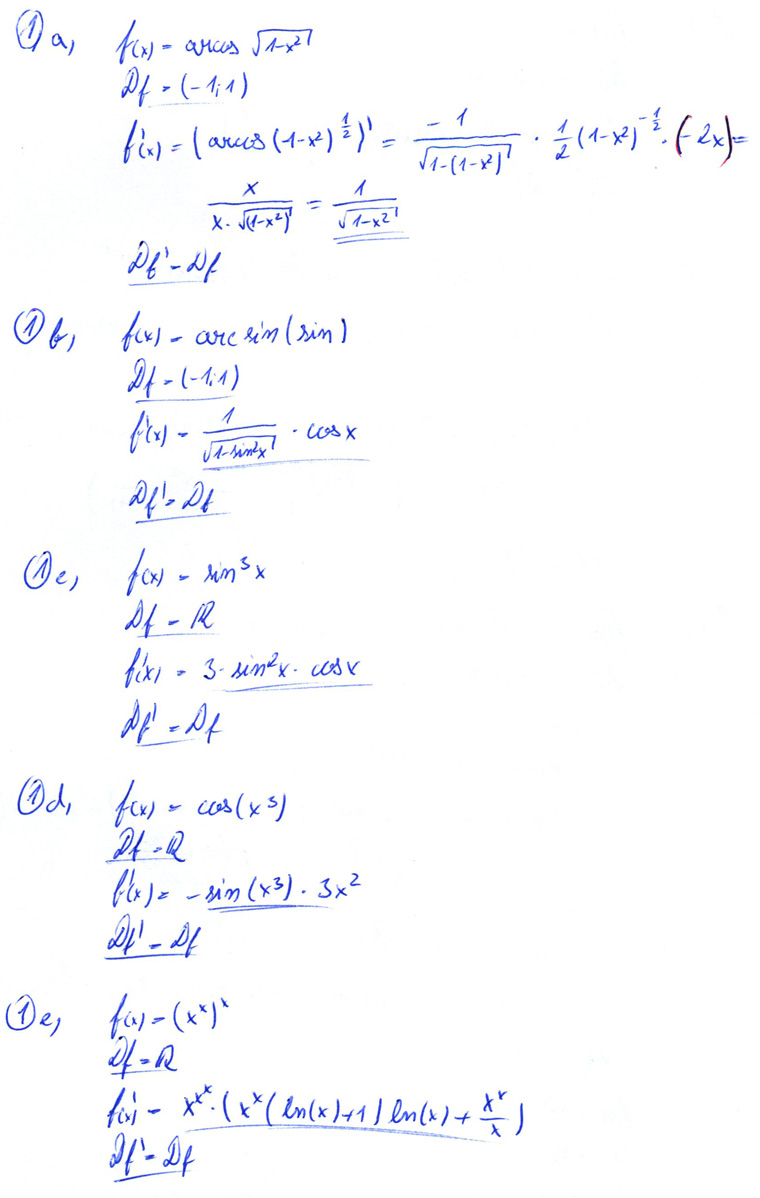
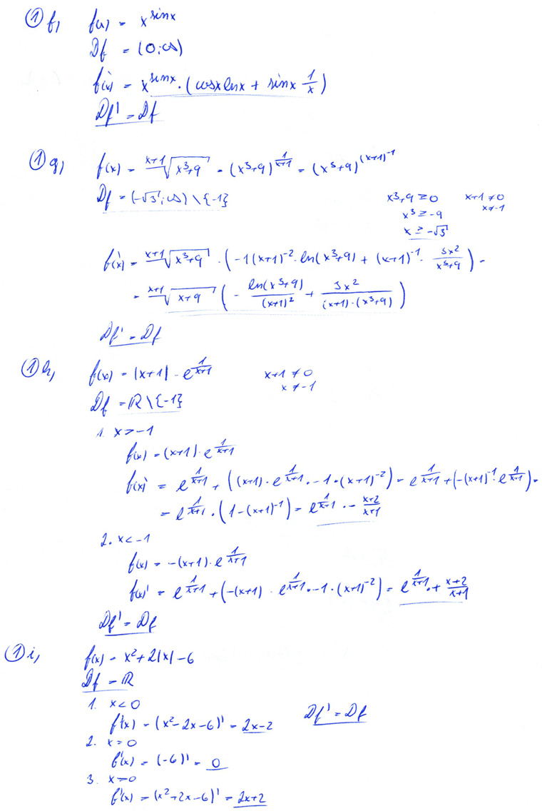
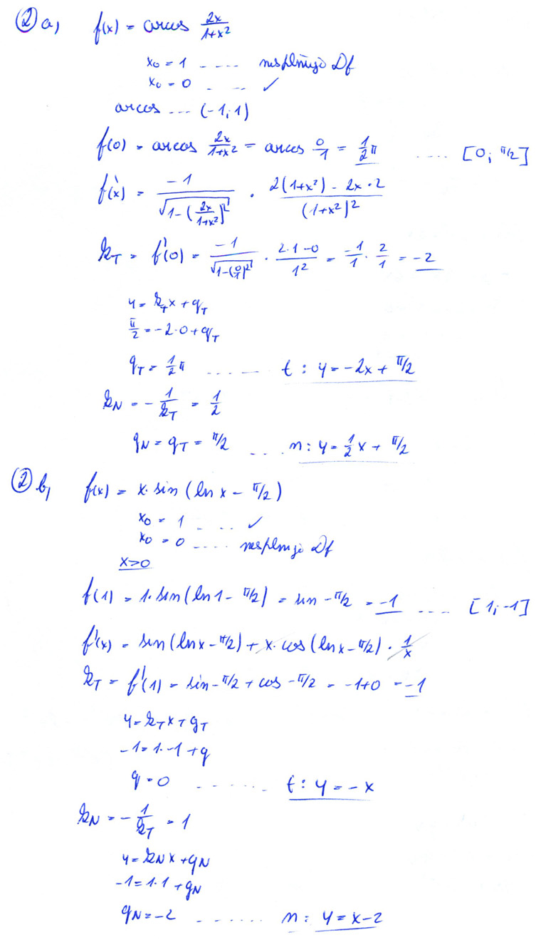
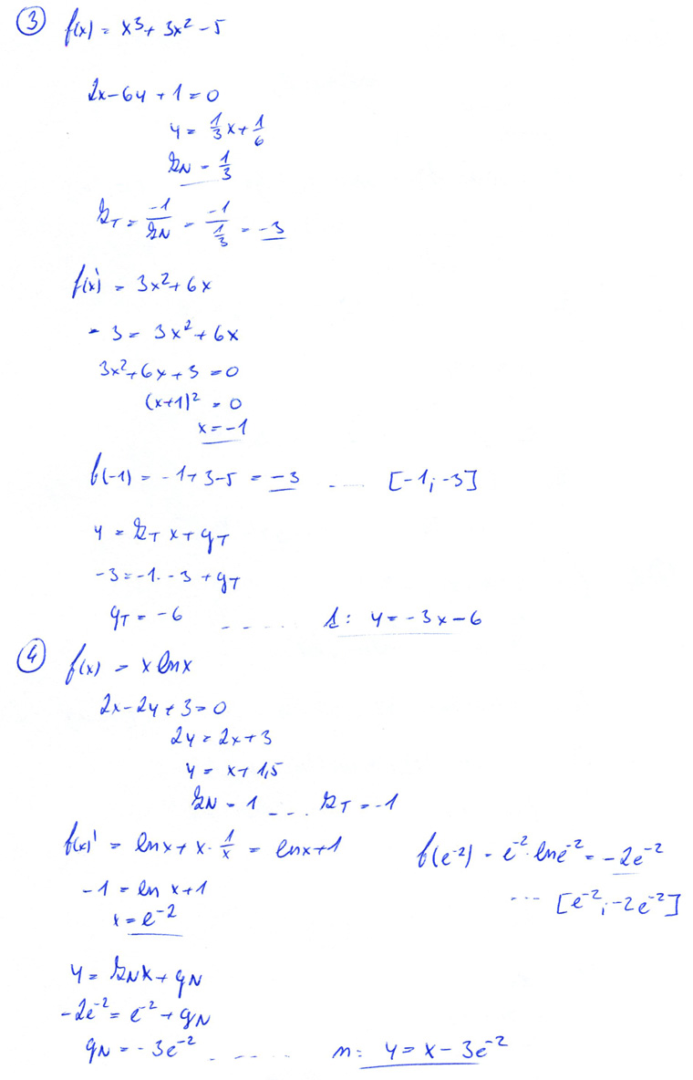
Zadania

Vypracovanie





//= Settings::TRACKING_CODE_B ?> //= Settings::TRACKING_CODE ?>
Riešená domáce cvičenie z Matematické analýzy na ČVUT - Matematická analýza - Derivácia funkcie.






David sa informačné technológie naučil na Unicorn University - prestížnej súkromnej vysokej škole IT a ekonómie.