18. diel - Neurónové siete - Stromový a one-vs-rest prístup
V minulej lekcii, Neurónové siete – Klasifikácia do viacerých tried , sme sa zaoberali klasifikáciou do viacerých tried a prebrali prístup "one-vs-one".
V tejto lekcii tutoriálu Neurónovej siete - Pokročilé budeme pokračovať s ďalšími prístupmi klasifikácie do viacerých tried. Tentoraz sa detailnejšie pozrieme na stromový prístup a prístup one-vs-rest.
Stromový prístup
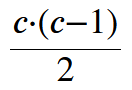
Predchádzajúci prístup one-vs-one mal dobré výsledky,
ale na ich získanie bolo nutné trénovať príliš veľa modelov. V
skutočnosti, ak máme ? tried, potrebujeme
modelov. V našom prípade je to 45 modelov celkom. Je to
príliš, najmä ak by výcvik jedného modelu trval hodiny alebo dni. Prvé,
čo by nás mohlo napadnúť, je vytvoriť klasifikačný strom. Tento prístup
sa v praxi nepoužíva, avšak ukážeme si ho, aby sme mali prehľad o
všetkých možnostiach.
...koniec náhľadu článku...
Pokračuj ďalej
Došiel si až sem a to je super! Veríme, že ti prvé lekcie ukázali niečo nového a užitočného.
Chceš v kurze pokračovať? Prejdi do prémiové sekcie.
Kúpiť iba tento kurz
Získaj okamžitý prístup ku kurzu bez
časového obmedzenia.
475 kreditov
Pred kúpou tohto článku je potrebné kúpiť predchádzajúci diel
Obsah článku spadá pod licenciu Premium, kúpou článku súhlasíš so zmluvnými podmienkami.
- Prístup k jednotlivým lekciám podľa spôsobu obstarania.
- Kvalitné znalosti v oblasti IT.
- Zručnosti, ktoré ti pomôžu získať vysnívanú a dobre platenú prácu.
Popis článku
Požadovaný článok má nasledujúci obsah:
V tejto lekcii tutoriálu Neurónovej siete - Pokročilé budeme pokračovať vo viactriednej klasifikácii. Tentoraz sa zameriame na stromový a one-vs-rest prístup.
Kredity získaš, keď podporíš našu sieť. To môžeš urobiť buď zaslaním symbolickej sumy na podporu prevádzky alebo pridaním obsahu na sieť.