Logické obvody 1 - Úvod
Princípy logických obvodov sú vlastne veľmi jednoduché. Mikrovlnná rúra, práčka, otváranie garážových brán aj počítač sú riadené vo svojej podstate logickými obvodmi, ktoré vyhodnocujú určitú situáciu podľa navrhnutej logické funkcie.
Predstavme si napríklad výťah, u ktorého sa musí strážiť, či sú zatvorené dvere, či nie je preťažený a či je stlačené tlačidlo voľby poschodia atď. Vyššie uvedené fakty sú pre nás tzv. "Vstupnej premennej". Podľa navrhovaného logického obvodu potom svojimi "výstupnými funkciami" zapína motor, signalizuje preťaženie alebo spúšťa alarm pri náhodnom zablokovaní výťahu, teda automaticky ovláda chod výťahu.
vstupní proměnné = čidla, snímače, senzory výstupní funkce = akční členy, signalizace
Logickú závislosť "výstupov" na "vstupoch" rieši vnútorná štruktúra. Tá je navrhnutá podľa princípov výrokovej logiky a môže byť riešená ako kombinačný logický obvod alebo sekvenčné logický obvod.
Skutočná fyzická implementácia záleží už len na našich možnostiach. Môžeme vytvoriť náš obvod pomocou diskrétnych integrovaných obvodov alebo pamäťovým obvodom treba v jazyku VHDL.
návrh = výroková logika, graf přechodů vnitřní struktura = kombinační obvod, sekvenční obvod realizace = diskrétní součástky, paměťový obvod
Kombinačné logický obvod
Realizuje také logické funkcie, u ktorých je logická hodnota výstupnej funkcie daná iba kombináciou okamžitých hodnôt vstupných premenných.

kombinačné funkcie najčastejšie zapisujeme:
- slovným popisom
- pravdivostná tabuľkou
- algebraickým výrazom
- stavovým indexom
- Karnaughova mapou
- logickým obvodom
- jazykom VHDL
Rozdeľujeme ich podľa stupňa integrácie:
- SSI - small scale integration, (1-10 hradiel), AND, OR, NOT, NAND, NOR, Exor, EXNOR
- MSI - medium scale integration, (10-100), aritmetické obvody, dekodéry, multiplexory
- LSI - large scale integration, (100-100 000), ALU, radič
SSI - základné logické členmi

SSI - vnútorné zapojenie základných logických členov

Slovné zadania príkladov
Nasledujúce príklady sú iba ukážkou, ako by mohli byť jednotlivé úlohy zadané. Prvé tri úlohy by sa mohli riešiť ako jednoduché kombinačné obvody pomocou pravdivostná tabuľky. Pre štvrtý, piaty a šiesty príklad je už lepšie využiť integrované obvody strednej integrácie au siedmeho príkladu ide o návrh jednoduchého sekvenčného automatu. Každý návrh je potom trochu iný.
- pr .: Navrhnite logický obvod, ktorý vysiela signál v prípade poruchy jedného alebo oboch vetrákov. Pri každom vetráku sú umiestnené snímače, ktoré vysielajú trvale signál, ak dôjde k poruche ventilátora.
- pr .: Automat na nápoje vydá vodu alebo citrónovú a alebo malinovú limonádu podľa výberu stlačeného tlačidla. Vodu zákazník dostane zadarmo, limonády iba po vložení príslušnej finančnej čiastky. Navrhnite ovládanie ventilov zásobníkov: vody, citrónového sirupu a malinového sirupu a zásobníka peňazí. Limonáda sa mieša z vody a príslušného sirupu, teda musia byť spustené oba ventily naraz. Ak zadá zákazník zlú kombináciu, rozsvieti sa signalizácia "zlá voľba" a peniaze sú vrátené.
- pr .: Navrhnite úplnú binárne sčítačka pre dve jednobitová čísla.
- pr .: Navrhnite obvod, ktorý rozsvieti ľad diódu, ak súčet dvoch čtyřbitových binárnych čísel je väčšia ako dekadickej číslo 5.
- pr .: Vytvorte multiplexor a demultiplexor.
- pr .: Navrhnite asynchrónne čítač, ktorý má voliteľný smer počítania (číta vzostupne alebo zostupne).
- pr .: Navrhnite synchrónny čítač, ktorý bude simulovať svetelný semafor.
Boolova algebra
Boolova algebra je binárny algebra (má len dve konštanty 0 a 1) a využíva AND, OR a NOT ako úplný súbor funkcií (žiadne iné nemá). Používa sa na úpravu a minimalizáciu logických funkcií. Platí v nej tri zákony, podobne ako v klasickej algebre:
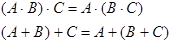
Asociatívne
Pri rovnakom operátoru nezáleží na zátvorkách.

Komutatívne
Nezáleží na poradí prvkov.

Distributívnej
Prvá rovnica je bežné roznásobení, ale pozor, druhá rovnica v bežnej
algebre neplatí. Keď si obe rovnice poriadne prezriete, tak sa len zamenia
znamienka 

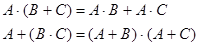
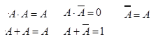
Pravidlá pre jednu premennú


Pravidlá pre dve premenné

DeMorganův teorém
Oba zákony platia pre dve i pre viacerých premenných.

Príklady
Zjednodušenie logické funkcie pomocou pravidiel Booleovej algebry
Úprava pomocou týchto pravidiel je veľmi zdĺhavá a robí sa pri nej pomerne dosť chýb. Navyše väčšinou nie je úplne isté, či je výsledok už naozaj minimálne. Veľkou výhodou je len, že možno využiť kedykoľvek "ručne" a pre viac premenných nie je (okrem počítačových algoritmov) iná metóda vhodná.

Zjednodušenie logické funkcie pomocou zákonov De Morgana
Rovnako ako úprava podľa Booleovej algebry aj tu ide skôr o precvičenie
si logického myslenia a aplikácie zákonov na príkladoch. V súčasnej dobe
sa väčšina obvodov realizuje úplne inak a alebo možno využiť už
hotových počítačových programov. Avšak na SŠ a aj na VŠ sa zatiaľ oba
dva typy príkladov vyskytujú a skúša a tak je dobré tieto úpravy poznať a
veľmi dobre precvičiť
.

