Fibonacciho postupnosť
V tomto článku si priblížime, čo je to Fibonacciho postupnosť as ňou súvisiace ďalšie pojmy, ktoré sa často používajú v matematike a ďalších disciplínach.
Fibonacciho postupnosť
Jedná sa o matematickú postupnosť, ktorá začína číslami
0 a 1. Každé ďalšie číslo je potom
súčet dvoch predchádzajúcich čísel. Číslam v tejto postupnosti
sa hovorí Fibonacciho čísla.
Začiatok postupnosti teda vyzerá takto:
| 0 | 1 | 1 | 2 | 3 | 5 | 8 | 13 | 21 | 34 | 55 | 89 | 144 | ... |
pole a následne z poľa vypísať x-tej číslo. Alebo ako túto
postupnosť vypísať pospiatky a podobne.
Matematicky sa dá Fibonacciho postupnosť vyjadriť tiež rekurzívne, explicitne alebo maticou. Maticami sa nebudeme zaoberať, ďalšie vyjadrenia si v článku ukážeme.
Fibonacciho králiky
Fibonacci popísal svoju postupnosť na množenie populácie králikov. S týmto príkladom ste sa s najväčšou pravdepodobnosťou už niekedy stretli. Jedná sa o na prvý pohľad jednoduchý matematický príklad, kedy na začiatku máme:
- jeden pár králikov (samca a samicu)
- pár je produktívny od druhého mesiaca života
- každý mesiac splodí každý produktívny pár jeden ďalší pár
- platia ideálne podmienky, králiky nikdy neumierajú, nie sú chorí a pod.
Pre výpis tejto postupnosti sa často používa len jednoduchý priechod cyklom a pomocné premenné, kde máme uložené predchádzajúce dva prvky, aby sme dokázali vypočítať prvok nasledujúce.
Algoritmus
Teraz si môžeme skúsiť naprogramovať jednoduchý príklad, kedy pomocou
vnorených cyklu necháme do riadkov pod seba vypisovať jednotlivé počty
králikov podľa Fibonnaciho poslounopsti. Por názornosť použijeme obrázok
králika nižšie
:

Keďže by bolo trochu náročnejšie vypísať zdrojový kód pre všetky
možné programovacie jazyky, vezmem to všeobecnejšie (za príklad poslúži
kód v JavaScriptu). Bude nutné si vytvoriť 2 premenné, napr.
predminula a minula pre počet v predchádzajúcich
dvoch generáciách králikov. Uložíme do nich hodnoty 0 a
1. Ďalej potom budeme potrebovať premennú soucasna,
do ktorej sa bude ukladať medzivýsledok, počet králikov súčasnej
generácie. Prvému cyklu nastavíme, koľkokrát sa má zopakovať (počet
generácií k výpisu). Samotná Fibonacciho postupnosť samozrejme nemá
konečné číslo. Druhý cyklus nám bude vypisovať obrázky králikov:
let predminula = 0; let minula = 1; for(let i = 3; i<10; i++) { let soucasna = predminula + minula; predminula = minula; minula = soucasna; for(let j = 0; j < soucasna; j++) { document.write('<img src="rabbit.png" width="32" height="32">'); } document.write("<br />"); }
V každom priebehu cyklu vypočítame počet králikov v súčasnej generácii ako súčet králikov v predchádzajúcich dvoch generáciách. Súčasná generácia sa potom pre ďalší beh cyklu stáva minulú a minulá predminulú.
výsledok:

Rekurzívny algoritmus
Určite vás napadlo, že by sa n-tý prvok v rade dal zistiť aj rekurziu. Daná funkcia by vyzerala takto:
function fibonacci(n) { if (n < 2) return n; else return fibonacci(n - 1) + fibonacci(n - 2) }
Ak chceme nultý alebo prvý prvok, je výsledkom 0, resp.
1. Tým sa splní podmienka ukončenia rekurzia. Ak chceme prvok
pre n od 2 a viac, vrátime súčet prvkov pre
n - 1 a n - 2, teda 2 predchádzajúce prvky
postupnosti. Rekurzia takto postupne postúpi od vysokých n až k
známym hodnotám pre 0 a 1 a pomocou týchto
výsledkov sa spätne zostaví n-tý prvok.
Rekurzívne riešenie je menej efektívne než riešenie cyklom, pretože si vyžaduje dodatočnú pamäť zásobníka na udržanie všetkých vnorených volanie funkcie.
Zlatý rez a explicitné vyjadrenie
N-tý prvok Fibonacciho postupnosti môžeme aj vypočítať pomocou vzorca, bez nutnosti použitia členov predchádzajúcich. Ako asi tušíte, riešenie bude oveľa zložitejšie a tiež menej presné, preto táto metóda nie je v programovaní preferovaná.
So Zlatým rezom, tzv. "Ideálne proporcií", sa môžeme stretnúť napríklad v umení alebo v prírode (slimačie ulity, schránky iných mäkkýšov, zobáky, rohy ...), ale aj v umení (proporcie obrazov, fotografií, rozvrhnutie hudby, kníh , scenárov, ...).
Hodnota Zlatého rezu sa veľmi blíži hodnote PHI (φ), čo je
iracionálne číslo. Dá sa vypočítať ako:
φ = (1+√5) / 2 ≈ 1,618.
Tejto hodnote sa blíži rýchlosť rastu Fibonacciho postupnosti. Fibonacciho špirála je teda často vnímaná ako synonymum pre Zlatý rez.
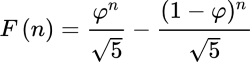
Vďaka Zlatému rezu, technike generujúcich funkcií, alebo za pomoci riešenie rekurentných rovníc, možno dospieť k výslovnému (nerekurzivnímu) vzťahu pre n -Ty člen Fibonacciho postupnosti, ktorý vyzerá takto:

kde:
- φ ≈ 1,618
- n - n-tý člen postupnosti
- F - podľa Fibonacciho, označuje výsledok
Druhý člen tejto rovnice sa s rastúcim n blíži nule. Asymptotickej správanie Fibonacciho postupnosti je teda dané prvým členom.
V skutočnosti je druhý člen malý aj pre malé n, takže ho
možno úplne zanedbať a získavať Fibonacciho čísla prostým
zaokrúhľovaním prvého člena na najbližšie celé číslo.
To je k základnej problematike Fibonacciho postupnosti asi všetko. Ďakujem
za pozornosť a dúfam, že ste sa dozvedeli niečo nové! 

